Unidade de montagem de diodo dedicada, o diodo de vácuo ideal montado independentemente com escudo de segurança acrílico transparente permite a observação clara da operação do diodo enquanto protege os componentes de vidro. Características do soquete marcado diagrama esquemático para maior compreensão conceitual
Módulo de medição de corrente de ânodo preciso: o módulo de medição de corrente de ânodo usa um amplificador de corrente de micro-amplificador e um medidor de display digital de quatro e meio, com uma faixa de medição de até 0.1uA ~ 20mA, que pode medir a corrente fraca do ânodo com precisão, precisão e estabilidade.
Módulo de saída de tensão de ânodo estável: a saída de tensão de ânodo usa uma fonte de alimentação linear, e a amplitude de saída atinge 0 ~ 160,0 V, que pode fornecer a tensão de ânodo do diodo de vácuo de forma estável e eficiente.
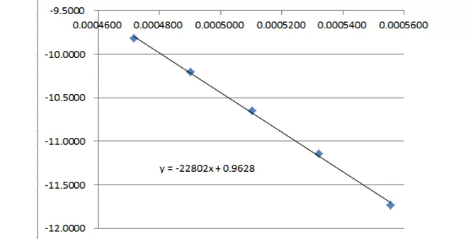
Experiência de medição da função de trabalho elétrico de metal (função de trabalho).
Aprenda métodos experimentais básicos, como o método de medição de linha reta de Richardson, método de medição de epitaxia e medição de compensação.
Não. | Parte | Especificações |
1 | Aparelho de experimento de função de trabalho elétrico de metal | Módulo de tensão do ânodo: faixa de tensão ajustável de 0 a 160VDC Módulo de corrente do ânodo: A faixa de medição é de 0 a 20mA Módulo de corrente de filamento: faixa ajustável de 0 a 800mA |
2 | Caixa de Diodo de Vácuo Ideal | Material do filamento: tungstênio puro Ânodo material: Níquel Corrente de filamento: 0, 50-0, 80 A |
Não. | Parte | Modelo | Qty |
1 | Aparelho de função de trabalho de elétrons de metal | BEM-5715 | 1 |
2 | Conjunto ideal de diodo de vácuo | BEM-5716 | 1 |
3 | 4mm Vermelho Banana Chumbo, vermelho | BC-105084 | 2 |
4 | 4mm Vermelho Banana Chumbo, preto | BC-105083 | 2 |
5 | 4mm Preto Banana Chumbo (revestido), preto | BC-105073 | 1 |
6 | 4mm Preto Banana Chumbo (revestido), vermelho | BC-105074 | 1 |
7 | Cabo de alimentação | BC-105075 | 1 |
8 | Cabo de extensão DIN de 8 pinos | BC-105077 | 2 |
UI-5400 software de aquisição de dados Capstone
UI-5000 850 Interface Universal
Sensor de tensão sem fio PS-3211 (2 unidades)
