Unidade de montagem de diodo dedicado
Diodo de vácuo montado independentemente com escudo de segurança transparente
Bobina Solenóide Integrada
Solenóide de 560 voltas para alinhamento preciso do campo magnético
Unidade de medição de alta precisão
Amplificador de nível de microampere com display de 4,5 dígitos (0,1 μA-20mA)
Fornecimento de tensão estável
Fonte de alimentação ajustável linear (0-160,0 V DC), sem ondulação
Aquisição Avançada de Dados
Interfaces duplas PASCO para coleta de dados em tempo real
Determinação da função de trabalho de elétrons metálicos
Movimento de elétrons em campos elétricos e magnéticos combinados (medição e/m)
Investigação da Distribuição Fermi-Dirac
Caracterização de Atual-Tensão de Diodos de Vácuo Ideal
Não. | Parte | Especificações |
1 | Console principal |
|
2 | Fonte de alimentação DC |
|
3 | Diodo de vácuo |
|
4 | Solenóide | 560 voltas |
# | Peças | Modelo | Qty. |
1 | Aparelho de função de trabalho de elétrons de metal | BEM-5715 | 1 |
2 | Fonte de alimentação DC sintonizável | BEM-5055 | 1 |
3 | Conjunto ideal de diodo de vácuo | BEM-5716 | 1 |
4 | Bobina Solenóide | BC-201026 | 1 |
5 | 2mm Red Banana Leads (revestido) | BC-104087 | 2 |
6 | 2mm Preto Banana Leads (revestido) | BC-104088 | 2 |
7 | 4mm Vermelho Banana Chumbo | BC-105084 | 1 |
8 | 4mm Preto Banana Chumbo | BC-105083 | 1 |
9 | 4mm Preto Banana Chumbo (revestido) | BC-105073 | 1 |
10 | 4mm Vermelho Banana Chumbo (revestido) | BC-105074 | 1 |
11 | Cabo de alimentação | BC-105075 | 1 |
12 | Cabo de Interface de 8 pinos | BC-105077 | 2 |
Experiência 1: Determinação da função de trabalho
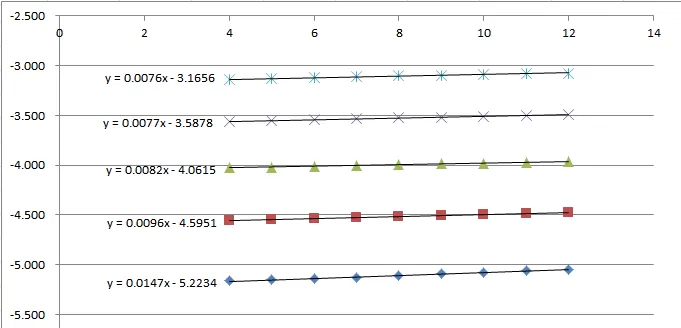
Tabela 1: Características da corrente do ânodo versus tensão e temperatura


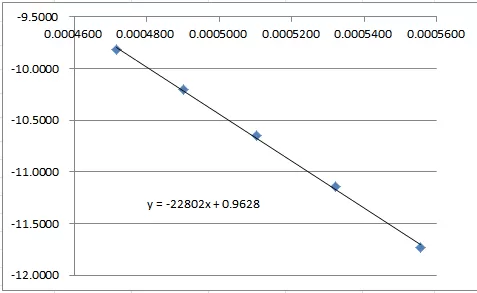
Tabela 2: Parâmetros de análise de Richardson


Experimento 2: Medição de relação de carga em massa

Experiência 3: Estudo de Distribuição Fermi-Dirac


Experimento 4: Caracterização do I-V de diodo

UI-5400 software de aquisição de dados Capstone
UI-5000 850 Interface Universal
Sensor de tensão sem fio PS-3211 (2 unidades)
